非凡国际

招标采购

-Bidding

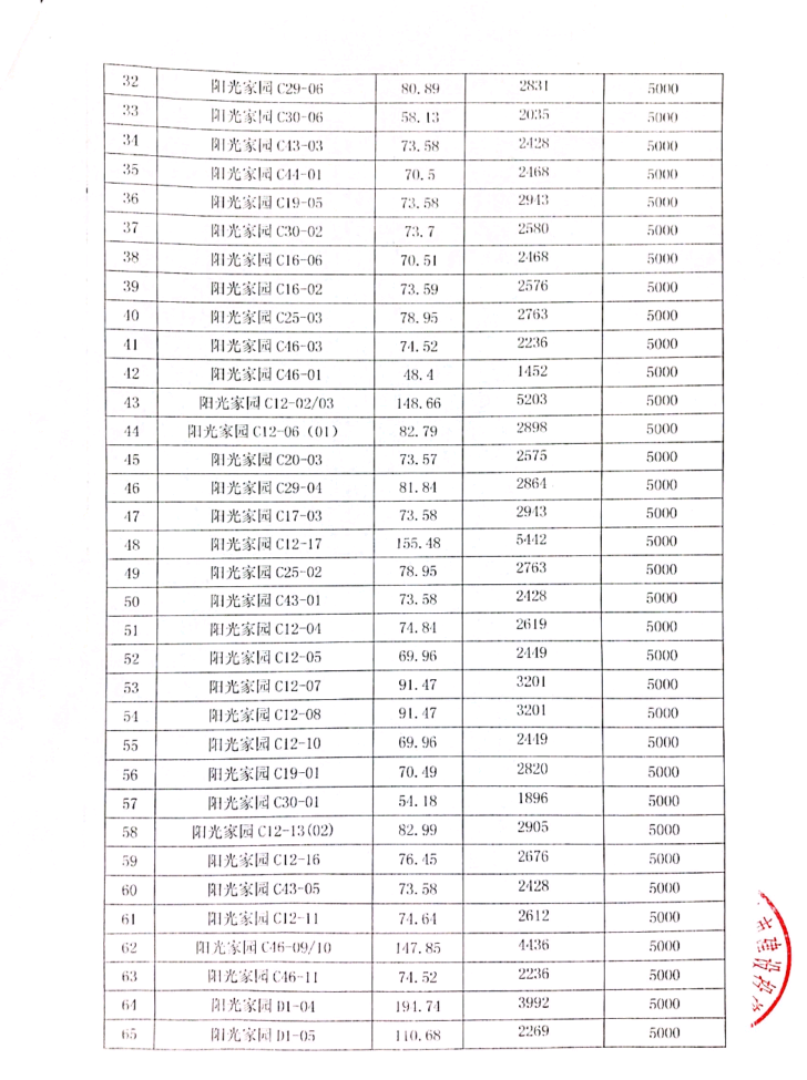
阳光家园租赁条约到期商铺租赁项目(一)招租通告

日期:2023-08-09

image.png

image.pngimage.pngimage.pngimage.pngimage.png

文章谈论

心情

共 0 条谈论,,,,,,,审查所有
  • 这篇文章还没有收到谈论,,,,,,,赶忙来抢沙发吧~
【网站地图】【sitemap】